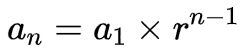
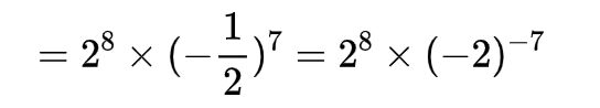
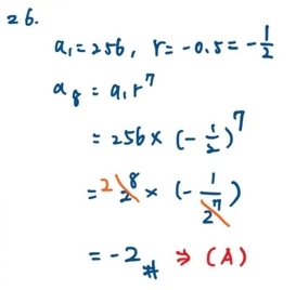
26.已知一等比數列的首項是 256,公比是−0.5,則第 8 項是多少?
(A) −2
(B)−1
(C)1
(D)2
答案:登入後查看
統計: A(254), B(43), C(66), D(55), E(0) #3113795
統計: A(254), B(43), C(66), D(55), E(0) #3113795
詳解 (共 4 筆)
#5842085
Point:

解題:![]()


11
0
#5867774
4
0