所屬科目:教甄◆數學
1. 有一邊長為的正八邊形 ABCDEFGH,設點 P 為的交點,點 Q 為的交點, 則三角形 APQ 的面積為________。
2. =________。
3. 甲、乙、丙、丁、戊、己、庚 7 人選 5 人排成一列,若同時選出甲、乙,則排列時甲、乙須相鄰;若同時選出丙、丁,則排列時丙、丁須分開,則一共有_______種不同的排列。
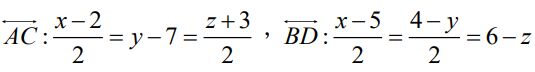
4. 坐標空間中,設 A,B 兩點在某直線 L 上的投影點分別為 C,D,已知 = 4, 且兩直線的方程式分別為, 則長度為_______。
5. 若方程式恰有五個實根,則 k =_______。
6. 已知三次函數 f (x) =x(x-2)(x-4) ,則=__________ 。
7. 在空間中,直線分別與平面 E1: x+ y+z=3和 E2 :x-y+2z=5交於 A、B 兩 點,設動點 P 在 E1 和 E2 的交線上,則三角形 △PAB 面積的最小值為________。
8. 在坐標平面上,O 為原點,圓 O: x2+y2=4有一弦在直線 x =1 上,設動點 P 在弦 上, 以為弦心距的弦為,所有可能的所形成的區域面積為________。
9. 設 z1 和 z2 為複數,且 = ________。
10. 多項式 f (x ) 滿足 xf(x-1)=(x-5) f(x)且 f (6) 1 = ,則= _______。
12. 學期成績以平常成績的 40%加上段考成績的 60%計算,已知某班同學平常成績的標準差為 20 分,段考成績的標準差為 15 分,學期成績的標準差為 13 分,則平常成績與段考成績的相關係數為________。
13. 在某瀕危石虎的復育計畫中,研究員將石虎的活動範圍簡化為一條線性的棲地路徑,由左至右 劃分為編號 0,1,2,3,4,5 的六個區塊。已知當石虎進入編號 5 的區塊(核心保護區)後, 將獲得永久安全不再移動;若進入編號 0 的區塊(開發密集區),則會因環境威脅而消失。若該石虎每日向右移動一個區塊(編號增加 1)的機率為 0.6 ,向左移動一個區塊(編號減少 1)的 機率為 0.4 ,且該石虎目前位於編號 2 的區塊,則它最終成功到達編號 5 區塊(核心保護區) 的機率為________。
二、計算證明題:(22 分,須詳列出過程,否則不予計分) 1. 在空間坐標系中,設Ω 為一底面落在 xy 平面上之直圓錐,其底面圓方程式為x2+y2 +≤ 4 ,且 頂點為 V (0,0,6) 。設平面Eh : z= h (其中 0<h<6 )與Ω相截之截痕為圓 Ch 。若 Rh 為 Ch 之內接矩形,則以 Rh 為底面、原點 O(0,0,0) 為頂點之四角錐體積的最大值為何?(7 分)
2. 設f(x)=123x2+234x-345,三次多項式 g x( ) 的首項係數為 1,且 y= g(x) 的圖形通過點 (114, f(114)) 、(115, f(115))、(116, f(116)) 。設 g ( x) 在 x =115附近的一次近似函數為 h (x) , 則 x =114、 x =116、 y =g (x) 和 y =h ( x) 的圖形所圍成的區域面積為何?(8 分)
3. 若實係數三次多項式 f(x) 有三個相異實根,且f'(x ),f"(x) 分別為 f(x) 的一階與二階導函數,請證明: 對於所有實數 x 均成立。 (7 分)