所屬科目:教甄◆數學
1.計算 =______________。
2.有一等差數列 ⟨an ⟩,前n項的和為sn。若 s2026 = 3027,s3027 = 1025,求 s5053 =______________。
3.若 a 為實數,且方程式 ax 2 − x + 1 = 0 的兩根為相異的正整數,則 a 的值為______________。
4.若x2 + y2 = 10x + 12y + 3,則−4x + 3y的最大值為______________。
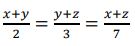
5.已知x, y, z均為實數,除了滿足 ,也同時滿足不等式x2 + y2 + z2 + a(x + y + z) > −1 ,則a的範圍為______________。
6.方程式(a − 1)x 2 − (a2 + 2)x + (a2 + 2a) = 0及(b − 1)x2 − (b2 + 2)x + (b2 + 2b) = 0至少有一共同根, .其中 a、b 為正整數且a ≠ b,則( a , b ) =______________。
7.若多項式f(x) = (x − 1)(x − 2)(x − k) + 124 有整係數之一次因式,且 k 為整數,則k =_____________。
8.若 f= x 2 − x + 2,則滿足 f(3z) = 8 的所有 z 值之和為______________。
9.方程式 x 2 |x| − 5x|x| + 2x = 0 的實根個數為 m,則 m =_____________。
10.如右圖所示,一共有 27 個全等的正六邊形緊密排列, 若 ,則 x + y的值為______________。
11.已知 P 為正方形 ABCD 內部一點,且,則正方形 ABCD 的面積=________。
12.設 ΔABC 之內切圓半徑為 3,外接圓半徑為 7,內切圓分別切三邊於 D 、E 、F ,則 的面積 =_____。
13.將相同大小的 20 顆紅球,20 顆黑球,20 顆白球,分成各 30 顆球的兩堆,則共有____________種分法。
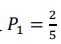
14.箱中有 5 顆大小相同的球,編號 1 號到 5 號,每次從箱中任意取出一球,再放回箱中,重複取球 n 次, 並記錄這 n 次取球的數字總和為 sn,假設 sn 除以 3 會餘 1 的機率為 Pn。例如: P1表示取球 1 次時,s1 除以 3 會餘 1 的機率,因此需取到 1、4 號球,故 。則 Pn =_____________。
15.已知 a、b 均為實數,圓 C:x 2 + y 2 + ax − 4y + 3 = 0 與直線 L:y = 1 − 3x 相切於 ( 0 , b ),則圓 C 的 半徑為______________