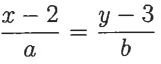
8. Let C be the curve of intersection of surfaces xy + yz +zx = -14 and x2+y2+z2=29.The tangent line of curve C at point (2,3, -4) is given by
= z + 4. Findthe values of a, b.
8. Let C be the curve of intersection of surfaces xy + yz +zx = -14 and x2+y2+z2=29.The tangent line of curve C at point (2,3, -4) is given by
= z + 4. Findthe values of a, b.