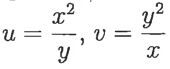
10. Let D be the region in zy-plane bounded by x2 = y, x2 = 3y, y2=x,y2=3x . Use the transformation
to evaluate the double integral.
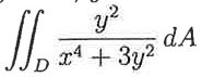
10. Let D be the region in zy-plane bounded by x2 = y, x2 = 3y, y2=x,y2=3x . Use the transformation
to evaluate the double integral.