所屬科目:四技二專統測◆數學C
1.已知平行四邊形ABCD中,A(-3,-2)、B(2,-1)、C(3,5),則D點的坐標為何?(A)(2,4)(B)(-2,4)(C)(2,-4)(D)(-2,-4)
2.若a、b、c、d四數成等差數列,其中a<b<c<d,且滿足a+b+c=21、abc=280,則d值為何?(A)13(B)14(C)15(D)16
3.A、B、C三人參加宴會,入座前皆將帽子交給服務人員放置於衣物間,宴會結束後由服務人員從衣物間取出三頂先前A、B、C三人所寄放之帽子,並隨機交還給A、B、C三人,則A、B、C三人都拿錯帽子之情形有幾種?(A)1(B)2(C)3(D)4
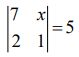
4.已知矩陣,則AB+C=?(A)(B)(C)(D)
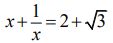
5.假設a、b皆為正實數,且,試求p、q之值?(A)(B)(C)(D)
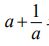
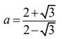
6.若,則之值為何?(A)4+ √3(B)1+4√3(C)4+5√3(D)5+4√3
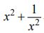
7.若,則之值為何?(A)14(B)16(C)18(D)20
8.若,試求之值為何?(A)4(B)6(C)8(D)10
9.已知x>0、y>0,若log3x+log3y=2且x2+y2=103,試求x+y之值為何?(A)10(B)11(C)12(D)13
10.設,若k>0且試求k之值為何?(A)√7(B)√10(C)√11(D)√13
11.哥哥今年的年齡是弟弟年齡的四倍,4年後哥哥的年齡是弟弟年齡的兩倍,則今年哥哥比弟弟大幾歲?(A)6(B)7(C)8(D)9
12.△ABC中,。若P點為的中點,試求的長度?(A)2(B)3(C)22(D)23
13.試求?(A)32(B)32i(C)–32(D)–32i
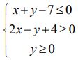
14.試求二元一次聯立不等式解的範圍所圍成的區域面積為何?(A)27(B)28(C)29(D)30
15.小欣在A點測得樹的頂端的仰角為30°,若小欣朝著樹的方向水平前進20公尺來到B點,再測得樹的頂端的仰角為60°,則樹的高度為多少公尺?(A)10(B)10√3(C)20(D)20√3
16.已知為銳角,且,則之值為何?(A)8(B)16(C)8√15(D)16√15
17.若直線L:2x-y-6=0與圓(x-5)2+(y+6)2=36交於A、B兩點,則之長度為何?(A)5(B)6(C)7(D)8
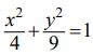
18.若點Pxy(,)為橢圓上的點,則2x-y的最大值為何?(A)3(B)4(C)5(D)6
19.設fx= √x,若點P(4,2)為此函數圖形上之一點,則以P為切點的切線方程式為何?(A)x+4y-12=0(B)x-4y+4=0(C)4x+y-18=0(D)4x-y+14=0
20.試求拋物線y=x2與直線y=2x所圍成的區域面積為何?(A)(B)(C)(D)