阿摩線上測驗
登入
首頁
>
四技二專統測◆數學C
>
114年 - 114 身心障礙學生升學大專校院甄試試題_四技二專組:數學(C)#137245
> 試題詳解
試題詳解
試卷:
114年 - 114 身心障礙學生升學大專校院甄試試題_四技二專組:數學(C)#137245 |
科目:
四技二專統測◆數學C
試卷資訊
試卷名稱:
114年 - 114 身心障礙學生升學大專校院甄試試題_四技二專組:數學(C)#137245
年份:
114年
科目:
四技二專統測◆數學C
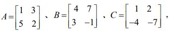
4.已知矩陣
,則AB+C=?
(A)
(B)
(C)
(D)
正確答案:
登入後查看