阿摩線上測驗 登入

試題詳解

試卷:114年 - 114 身心障礙學生升學大專校院甄試試題_四技二專組:數學(C)#137245 | 科目:四技二專統測◆數學C

試卷資訊

試卷名稱:114年 - 114 身心障礙學生升學大專校院甄試試題_四技二專組:數學(C)#137245

年份:114年

科目:四技二專統測◆數學C

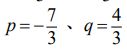
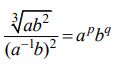
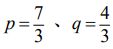
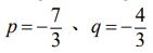
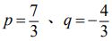
5.假設a、b皆為正實數,且,試求p、q之值?
(A)
(B)
(C)
(D)

正確答案:登入後查看