所屬科目:教甄◆物理科專業
1.質量為m的木塊A,以水平初速v0自質量2m的靜止木塊B之左端向右運動,如圖所示,已知A、B之間的動摩擦係數為μ1,B與地面間的動摩擦係數為μ2,重力加速度量值為g。A、B恰達相對靜止時的共同速度量值為若干?
2.質量為M、半徑為R的月球,其地表上空h處有一艘質量為m的太空船,沿一圓形軌道繞月球公轉。為了能抵達月球表面,太空船之噴氣引擎在A點做了短時間的噴射,以便減慢太空船速度,如圖所示。若月球表面重力加速度量值為g,,太空船A點到達位於月球表面的B點,AB相當於噴射後太空船橢圓軌道的長軸。則太空船在軌道A點噴射後抵達月球表面B點瞬間的速率為何?(答案以R、h、g表示)
3.在雙狹縫實驗中,光波波長為405nm,狹縫間距d為19.44μm,及狹縫寬度a為4.05μm。考慮雙狹縫之光干涉及單狹縫之光繞射效應,在繞射的中央亮紋內有多少條干涉亮紋?
4.有一觀察者、聲源和反射板依照順序排列在一條直線上,如圖所示。若聲源和反射板可以沿著此直線個別移動,且無風時的聲波速率為v0。當觀察者維持靜止時,聲源發射固定頻率f的聲波,且以固定的速率v向左靠近觀察者,反射板則以相同速率v向右遠離聲源運動(v<v0),此時固定速率為w的風從觀察者吹向反射板,且w<v0。則觀察者接收「經反射板反射後的聲波」頻率為何?(答案以v、v0、w、f表示)
5.如圖所示,一直角三角形線圈兩邊長分別為a及l、電阻為R,以等速度v通過一範圍為d(d>a),強度為B的均勻磁場,磁場的方向為垂直射入紙面,在時間t=0時,線圈的前緣恰接觸磁場的邊緣。則當0≤t≤a時,線圈上的感應電流大小i與時間t的關係式為何?
6.以光的「波動說」分析,在距功率為1.0W的燈泡1.0m遠的地方,垂直於光線放一塊鉀片(功函數為2.25eV)。假設一個電子能收集入射到半徑為m(鉀原子半徑)的圓形截面積上的光通量。則鉀片中一個電子要從光波中收集到足夠的能量以便逸出,需要多少秒的時間?(答案以四捨五入取至整數)
7.在下圖所示平面坐標內(+y軸為鉛直向上)存在著水平向右的均勻電場,有一帶正電的小球,自坐標原點O沿+y軸方向拋出,它的初動能為4J,不計空氣阻力但需考慮重力的影響。當它上升到最高點時,它的動能為5J。求帶電小球落回到O點時的動能為若干?
8.設m為電子質量、e為電子電量、k為真空中的庫倫靜電常數、h為普朗克常數、c為光速,則芮得柏常數為何?
(1)此複擺在微小角度振盪下的振盪週期為何?
(2)當d為多少時,振盪週期最短?
(1)氣球膨脹的理為何?
(2)忽略氣球開口的邊緣效應,庫侖常數k=9.0×109N⋅m2/C2。已知能使空氣游離的電場強度為3.0MV/m,若膨脹的氣球半徑為10cm,則不致使氣球放電的最高外加電壓可達多少伏特?
(3)承(2)小題,在最高外加電壓下,氣球表面的電荷密度為何?
(1)F量值至少應該多大?(請以M、m、μ、g表示)
(2)討論當μ>1時,A所受的靜摩擦力及F的量值各為何?
(1)質點A與B碰撞後瞬間,系統力學能為何?
(2)在A與B碰撞過程中,當彈簧達最大壓縮量時,彈簧的長度為何?
(1)細桿兩端相對於撞後質心旋轉的角速率為何?請以v、L表示答案。
(2)細桿中點相對於桌面的速率為何?請以v表示答案。
(1)今使活塞A從最高位置向下移動到最低位置B處,則隔板上方的氣體壓力為何?
(2)承上題,當活塞A從B處往上拉回時,要拉到離隔板C多高時,才能使隔板C上方的氣體壓力等於P0?
(1)假設透鏡與感光元件的距離,可在50mm至60mm之間變動,若要能清楚成像,能拍攝到物體的最近距離為多少cm?
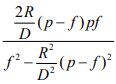
(2)已知透鏡在某位置時,能夠將距離透鏡p的點光源,成像一個「點」在感光元件上,若是距離大於或小於p的其它點光源,會在感光元件上形成一個「圓斑」,距離差越遠,則圓斑直徑越大,但人眼能夠辨識的直徑大小有其限制,若圓斑直徑不大於R時,人眼仍視其為「點」,代表人眼認為景物與透鏡的距離有一段區間都能清楚成像,這段區間稱為「景深」,如示意圖。若透鏡焦距為f、透鏡能透光的直徑為D,試推導景深為。
(3)承續第(2)題,當所拍攝的物體夠遠時,能將該物體後方所有遠景清楚成像,試求物體至少要距離透鏡多遠?
(1)原子轉動的角速度?量子化,關係式為何?
(2)此分子的轉動動能E量子化,關係式為何?
(1)在金屬棒中心主軸線的磁場量值為何?
(2)在圓柱空腔中心主軸線的磁場量值為