阿摩線上測驗 登入

申論題資訊

試卷:111年 - 111 台灣電力公司_新進僱用人員甄試:專業科目 B(基本電學)#107783
科目:台電◆基本電學
年份:111年
排序:0

申論題內容

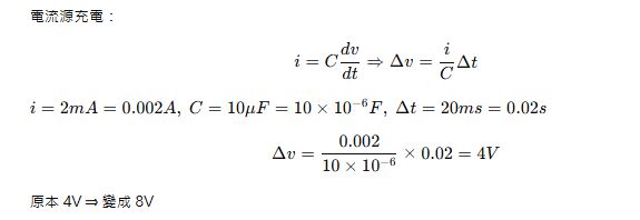
5.有一 10 微法拉(μF)的電容器,測得兩端的電壓值為 4 伏特(V),將其加入 2 毫安培(mA)的直流 電流源,使電壓值繼續上升。當時間經過 20 毫秒(ms)後,則電容器兩端的電壓值會變為 ____ 伏特(V)。

詳解 (共 2 筆)

詳解 提供者:combcreepy
6NDj8eZ9Tq2pXsJWg01De8+jJYPHs+CEI+xepVotIx2OUgto7OyZ0PvxAs1YGmjpcZ3noal57Umlw+6Gkk5Pvw0YrzI8qK+pFRMA7APbgr8lgKQMaR7XChGpyKvEU+mc8jEa6s506iEdNWi5OLdc5dpW2zz6kbKwAi3zLhJ+zsMlzyX9g35cgpQngUQ5W3KMq5MIdMGOAFYPuUNLCIiHmUJ9SyvSIz8d2yI63IiNACVKHADHgBq+DjRI+QAAAAASUVORK5CYII=
詳解 提供者:已上榜,感謝阿摩(連三榜)
696879ffb3ce8.jpg