阿摩線上測驗 登入

申論題資訊

試卷:114年 - 114 台灣電力公司_新進僱用人員甄試試題_專業科目 B:基本電學#127007
科目:台電◆基本電學
年份:114年
排序:0

申論題內容

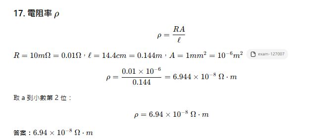
17.在 20 ℃下,有一 10毫歐姆(mΩ)電阻,其長度為 14.4公分(cm),截面積為 1平方毫米(mm2 ), 則該電阻材料之電阻率為_____歐姆‧公尺(Ω‧m)。(請用科學記a✖10b表示,其a請計算至小數點後第 2 位,以下四捨五入)

詳解 (共 1 筆)

詳解 提供者:已上榜,感謝阿摩(連三榜)
69685a0bbf08a.jpg