阿摩線上測驗 登入

申論題資訊

試卷:112年 - 112 台灣電力公司_新進僱用人員甄試:專業科目 B(基本電學)#114251
科目:台電◆基本電學
年份:112年
排序:0

申論題內容

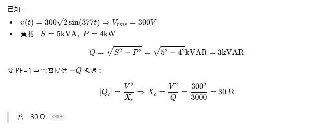
16.如【圖 10】所示交流電路,電源電壓 v(t) =64644f11e8411.jpg sin (377 t) V,負載為電感性負載,其視在功率 為 5 kVA、實功率(平均功率)為 4 kW;若電源的功率因素為 1.0,則電容抗 Xc為____歐姆(Ω)。64644eff73494.jpg

詳解 (共 3 筆)

詳解 提供者:combcreepy
k+ULPfMluNAAAAAASUVORK5CYII=
詳解 提供者:已上榜,感謝阿摩(連三榜)
69688976bfd5a.jpg
詳解 提供者:胡晉瑋

想請問一下
功率因數=1
表示θ= 0度

按照下面的圖來看,S應該等於P
那為什麼這題可以在PF=1的情況下,
S不等於P呢?



657b00782b724.jpg