阿摩線上測驗
登入
首頁
>
台電◆基本電學
>
111年 - 111 台灣電力公司_新進僱用人員甄試:專業科目 B(基本電學)#107783
> 申論題
申論題
試卷:111年 - 111 台灣電力公司_新進僱用人員甄試:專業科目 B(基本電學)#107783
科目:台電◆基本電學
年份:111年
排序:0
申論題資訊
試卷:
111年 - 111 台灣電力公司_新進僱用人員甄試:專業科目 B(基本電學)#107783
科目:
台電◆基本電學
年份:
111年
排序:
0
題組內容
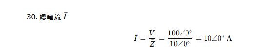
3.如【圖 14】所示,試求:
申論題內容
(3) 總電流
(註:請以 A∠B 表示)
詳解 (共 1 筆)
詳解
提供者:已上榜,感謝阿摩(連三榜)