阿摩線上測驗
登入
首頁
>
台電◆基本電學
>
112年 - 112 台灣電力公司_新進僱用人員甄試:專業科目 B(基本電學)#114251
> 申論題
申論題
試卷:112年 - 112 台灣電力公司_新進僱用人員甄試:專業科目 B(基本電學)#114251
科目:台電◆基本電學
年份:112年
排序:0
申論題資訊
試卷:
112年 - 112 台灣電力公司_新進僱用人員甄試:專業科目 B(基本電學)#114251
科目:
台電◆基本電學
年份:
112年
排序:
0
題組內容
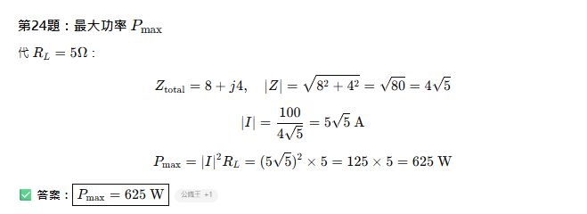
2.如【圖 13】所示之電路,R
L
為可調純電阻,試求: (2 題,共 15 分)
申論題內容
(2) RL負載之最大功率 P
max
(5 分)
詳解 (共 1 筆)
詳解
提供者:已上榜,感謝阿摩(連三榜)