阿摩線上測驗
登入
首頁
>
台電◆基本電學
>
113年 - 113 台灣電力公司_新進僱用人員甄試試題_專業科目 B:基本電學#119794
> 申論題
申論題
試卷:113年 - 113 台灣電力公司_新進僱用人員甄試試題_專業科目 B:基本電學#119794
科目:台電◆基本電學
年份:113年
排序:0
申論題資訊
試卷:
113年 - 113 台灣電力公司_新進僱用人員甄試試題_專業科目 B:基本電學#119794
科目:
台電◆基本電學
年份:
113年
排序:
0
題組內容
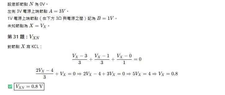
4.如【圖 13】所示之電路,試求:
申論題內容
(1)電壓 V
XN
為多少伏特(V)?
詳解 (共 1 筆)
詳解
提供者:已上榜,感謝阿摩(連三榜)