阿摩線上測驗 登入

試題詳解

試卷:107年 - 10704 臺北捷運:基本電學#68878 | 科目:捷運◆基本電學

試卷資訊

試卷名稱:107年 - 10704 臺北捷運:基本電學#68878

年份:107年

科目:捷運◆基本電學

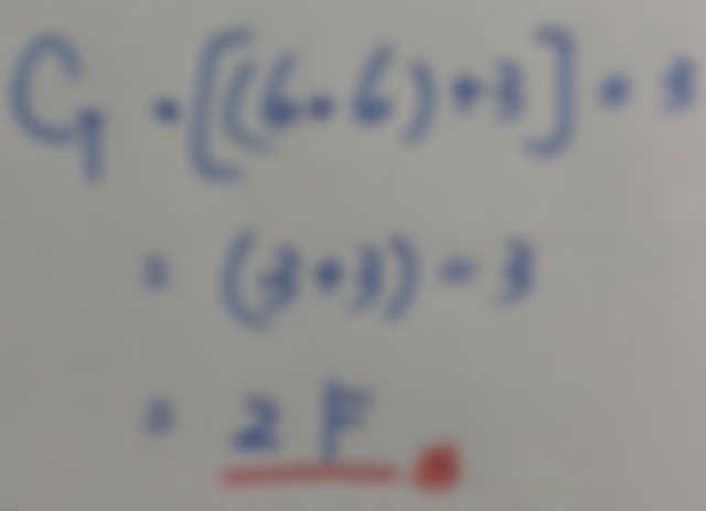
43. 如下圖,等效電容(CT)的值為何?
phptw4PDw 
(A) 2F
(B) 3F
(C) 4F
(D) 以上皆非

正確答案:登入後查看

詳解 (共 1 筆)

推薦的詳解#2796983
未解鎖
6F串6F = 3F3F並3F = 3+...
(共 49 字,隱藏中)
前往觀看
12
0

私人筆記 (共 3 筆)

私人筆記#4845704
未解鎖
個人答案試寫(僅供參考)

(共 12 字,隱藏中)
前往觀看
8
0
私人筆記#5900827
未解鎖


(共 0 字,隱藏中)
前往觀看
0
0
私人筆記#4972198
未解鎖


(共 0 字,隱藏中)
前往觀看
0
0