阿摩線上測驗
登入
首頁
>
初等/五等/佐級◆基本電學大意
>
104年 - 104 國家安全情報特種考試_五等_電子組:基本電學大意#37813
> 試題詳解
試題詳解
試卷:
104年 - 104 國家安全情報特種考試_五等_電子組:基本電學大意#37813 |
科目:
初等/五等/佐級◆基本電學大意
試卷資訊
試卷名稱:
104年 - 104 國家安全情報特種考試_五等_電子組:基本電學大意#37813
年份:
104年
科目:
初等/五等/佐級◆基本電學大意
39 如圖示電路,等效電阻 R
T
為多少 Ω?
(A) 4
(B)5
(C) 6
(D)8
正確答案:
登入後查看
詳解 (共 2 筆)
silentsimon
B1 · 2017/06/02
推薦的詳解#2239425
未解鎖
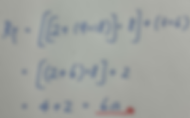
(3//6)+8//(2+(9//18)...
(共 43 字,隱藏中)
前往觀看
1
0
張幼竺
B3 · 2020/04/09
推薦的詳解#3872857
未解鎖
{[(9//18)+2]//8}+(3/...
(共 27 字,隱藏中)
前往觀看
0
0
私人筆記 (共 2 筆)
【給你考運】勞贖
2023/02/12
私人筆記#4881682
未解鎖
個人答案試寫(僅供參考)
(共 12 字,隱藏中)
前往觀看
7
0
J
2023/04/21
私人筆記#5040684
未解鎖
(共 0 字,隱藏中)
前往觀看
0
0