阿摩線上測驗 登入

試題詳解

試卷:108年 - 10808 臺北捷運:基本電學#79431 | 科目:捷運◆基本電學

試卷資訊

試卷名稱:108年 - 10808 臺北捷運:基本電學#79431

年份:108年

科目:捷運◆基本電學

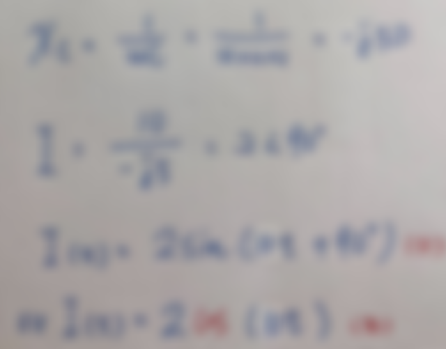
26. 有一交流電源 10sin(10t)V,接於 0.02F 的電容器兩端,求流經此 電容器的電流?
(A)2sin(10t)A
(B) 2cos(10t)A
(C) 2sin(10t–90°)A
(D)2sin(10t+90°)A。
正確答案:登入後查看

詳解 (共 3 筆)

推薦的詳解#3593112
未解鎖
交流電容→電流超前電壓這題是純電容,所以...
(共 31 字,隱藏中)
前往觀看
10
0
推薦的詳解#3599998
未解鎖
B把COS換成SIN  不是也是SIN ...
(共 37 字,隱藏中)
前往觀看
9
0
推薦的詳解#3722624
未解鎖
因為選項B出題老師出錯吧這題101年統測...
(共 36 字,隱藏中)
前往觀看
6
0

私人筆記 (共 4 筆)

私人筆記#4105588
未解鎖
個人詳細算法(僅供參考)

(共 14 字,隱藏中)
前往觀看
11
0
私人筆記#6299442
未解鎖
個人算法~

(共 5 字,隱藏中)
前往觀看
7
0
私人筆記#5903185
未解鎖


(共 0 字,隱藏中)
前往觀看
1
0
私人筆記#4949975
未解鎖


(共 0 字,隱藏中)
前往觀看
0
0