阿摩線上測驗
登入
首頁
>
研究所、轉學考(插大)、學士後-計算機概論
>
114年 - [無官方正解]114 臺灣綜合大學系統_學士班轉學生考試試題:計算機概論#137952
> 試題詳解
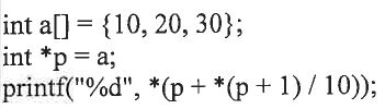
13. Given the following code, what is printed?
(A) 10
(B) 20
(C) 30
(D) 40
答案:
登入後查看
統計:
尚無統計資料
相關試題
1. What is the binary representation of the decimal number 69? (A) 1001111 (B) 1001101 (C) 1000101 (D) 1001100
#3837561
2. In computer science, which of the following best describes an array? (A) A collection of elements where each element points to the next. (B) A data structure that stores elements in a first-in, first-out manner. (C) A collection of elements stored at contiguous memory locations, accessed by an index. (D) A hierarchical data structure with a root and child nodes.
#3837562
3. What is the primary function of a compiler in the context of programming languages? (A) To execute program instructions line by line during runtime. (B) To translate source code written in a high-level language into machine code or an intermediate language, typically before execution. (C) To manage the allocation and deallocation of memory for program variables. (D) To provide a runtime environment and libraries for program execution.
#3837563
4. In the Open Systems Interconnection (OSI) model, which layer includes the sublayer where the Media Access Control (MAC) address operates? (A) Network Layer (B) Data Link Layer (C) Transport Layer (D) Physical Layer
#3837564
5. When using Big-O notation to describe the running time of an algorithm, what is the key idea behind lignoring everything except the element that makes the biggest difference to the running time? (A) It simplifies calculations by removing constants. (B) It focuses on the average-case performance of the algorithm. (C) For very large inputs, the contribution of less significant components becomes negligible. (D) It helps determine the exact running time for small inputs.
#3837565
6.What is the result of the bitwise AND operation between the decimal numbers 13 and 22? (A) 4 (B) 13 (C) 17 (D)30
#3837566
7.Which option arranges the following memory types in order of decreasing access speed (fastest to slowest): I. RAMII. CPU Registers III. Cache MemoryIV. Hard Disk Drive (A) II, III, I, IV (B) III, II, I, IV (C) II, I, III, IV (D) IV, I, III, II
#3837567
8.What is the average-case time complexity of the Bubble Sort algorithm for an input of size n? (A) O(n log n) (B) O(n) (C)O(n2) (D) O(log n)
#3837568
9.Which of the following statements best describes a key characteristic of a Universal Turing Machine (UTM)? (A) A UTM can solve any mathematical problem, including those proven to be undecidable like the Halting Problem. (B) A UTM is designed with a specific set instructions to solve one particular complex computational problem with maximum efficiency. (C) A UTM can simulate any other Turing machine if provided with a description of that machine and its input. (D) A UTM operates using quantum bits (qubits) to achieve computational power beyond classical Turing machines.
#3837569
10.In a multi-user database environment, complex interactions between simultaneous transactions can lead to undesirable outcomes such as "lost updates" (where one transaction's changes are overwitten by another), "dirty reads" (where a transaction reads uncommitted data from another transaction), and "inconsistent reads" (where a transaction reads different values for the same data item at different points in time). Which core aspect of database management, typically managed within the database architecture, is primarily responsible for addressing and preventing these types of anomalies? (A) Indexing, which optimizes data retrieval by creating sorted pointers to data records, thereby speeding up query execution and reducing the likelihood of data conflicts. (B) Relational Algebra, which provides a theoretical foundation for querying and manipulating data in relational databases, enabling structured data operations. (C) Concurrency Control, which employs various mechanisms to manage the interleaved execution of transactions, ensuring data integrity and transaction isolation. (D) B-trees, a tree data structure used for efficient storage and retrieval of data on disk, enabling fast lookup, insertion, and deletion operations within a database.
#3837570
相關試卷
114年 - [無官方正解]114 臺灣綜合大學系統_學士班轉學生考試試題:計算機概論#137952
2025 年 · #137952
114年 - [無官方正解]114 台灣聯合大學系統_學士班轉學生考試試題:計算機概論#137764
2025 年 · #137764
110年 - 110 國立中央大學_碩士班招生考試_網路學習科技研究所:計算機概論#124075
2021 年 · #124075
110年 - 110 國立臺灣科技大學_碩士班招生試題_營建工程系(戊組):計算機基本概念與程式設計#113110
2021 年 · #113110
110年 - 110 國立高雄科技大學_碩士班招生考試_電子工程系:計算機概論(丙組)#110504
2021 年 · #110504
110年 - 110 國立高雄科技大學_碩士班招生考試_資訊管理系:計算機概論#110413
2021 年 · #110413
110年 - 110 國立臺北教育大學_碩士班招生考試_資訊科學系:計算機概論#105558
2021 年 · #105558
110年 - 110 國立中山大學_碩士暨碩士專班招生考試_資管系/甲、乙組:計算機概論#105543
2021 年 · #105543
110年 - 110 國立政治大學_碩士班暨碩士在職專班招生考試_ 資訊科學系碩士在職專班一般組:計算機概論#105482
2021 年 · #105482
110年 - 110 國立清華大學碩士班考試入學試題_資訊系統與應用研究所:計算機概論#104988
2021 年 · #104988