阿摩線上測驗
登入
首頁
>
水產資源學
> 97年 - 97 專技高考_漁撈技師:水產資源學#34312
97年 - 97 專技高考_漁撈技師:水產資源學#34312
科目:
水產資源學 |
年份:
97年 |
選擇題數:
0 |
申論題數:
10
試卷資訊
所屬科目:
水產資源學
選擇題 (0)
申論題 (10)
⑴ allee 現象(allee effect)
⑵作業報表(logbook)
⑶過度補償(overcompensation)
⑷最大產卵潛能(maximum spawning potential)
⑸反溯分析法(retrospective analysis)
二、漁業資源評估之重要目的之一是估計魚類系群狀態的不確定性(uncertainty),其 中一種檢視資源評估時不確定性的方法為「敏感度分析(sensitivity analysis)」。 請說明敏感度分析如何檢視估計參數的不確定性?(20 分)
三、水產資源管理常常利用到「漁獲死亡限界(fishing mortality thresholds)」的概念, 請問如何計算漁獲死亡限界?假設已經計算出漁獲死亡限界 F
max
和F
0.1
,請討論生 產量(yield),加入量(recruits)的變化量和F
max
和F
0.1
間的關係。(20 分)
⑴漁獲量和漁獲努力量資料(catch and effort data)
和⑵年齡組成資料(age composition data),可以用來 作為系群判定的資訊。(20 分)
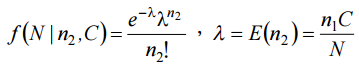
【已刪除】五、若採用標識放流回收法(mark-recapture method)來估計臺灣東部近海灰鯖鮫的現存 量。從捕獲的灰鯖鮫中進行 n
1
尾的標識。放流後的漁撈作業中,共捕獲灰鯖鮫C 尾, 其中 n
2
尾具有標識。假設 n
2
為卜瓦松分布(Poisson distribution),請推導灰鯖鮫資 源量之估計式。卜瓦松分布之機率密度函數(Probability density function)為
。(20 分)