阿摩線上測驗
登入
首頁
>
技師◆航空測量學
> 97年 - 97 專技高考_測量技師:航空測量學#37542
97年 - 97 專技高考_測量技師:航空測量學#37542
科目:
技師◆航空測量學 |
年份:
97年 |
選擇題數:
0 |
申論題數:
11
試卷資訊
所屬科目:
技師◆航空測量學
選擇題 (0)
申論題 (11)
一、何謂被動式(passive)及主動式(active)遙測系統?並請說明這 2 種遙測系統可能 應用的電磁波輻射源及其適合的應用波段。(20 分)
⑴成像系統之掃瞄方式
⑵影像光譜性質(波段數、各波段名稱及大約之波長範圍)
⑶各波段影像之空間解析度(地面取樣距離)
⑷衛星軌道種類(或特性)
三、何謂正射影像(orthoimages)?以航照影像進行正射糾正(ortho-rectification)時需 要那些已知的輔助資料?正射影像的產品為何會有所謂的不完善正射影像 (imperfect orthoimages)及真實正射影像(true orthoimages)之分別?(20 分)
⑴像元之地面取樣距離(ground sampling distance, GSD)
⑵垂直於航線方向之視場角(field of view, FOV)
⑶一張影像之地面涵蓋面積
⑷一對前後重疊之立體像對基線(baseline)長及基線航高比
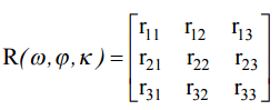
【已刪除】五、承上題,若相機之像主點(principal point)之影像坐標為(c
0
, r
0
),如下圖。若某 張影像之外方位參數已知為(X
0
, Y
0
, Z
0
, ω,φ,k ),而像幅內某地物點坐標為(X, Y, Z),請列計算式說明如何計算此地物點之影像坐標(c, r)?設旋轉參數(ω,φ,k ) 已化算得旋轉矩陣 R 如下式。(20 分)