阿摩線上測驗
登入
首頁
>
微積分
> 97年 - 097年外交領事人員外交行政人員及國際新聞人員、97年國際經濟商務人員 、97年國家安全局國家安全情報人員國家安全情報人員數理組#38118
97年 - 097年外交領事人員外交行政人員及國際新聞人員、97年國際經濟商務人員 、97年國家安全局國家安全情報人員國家安全情報人員數理組#38118
科目:
微積分 |
年份:
97年 |
選擇題數:
0 |
申論題數:
8
試卷資訊
所屬科目:
微積分
選擇題 (0)
申論題 (8)
【已刪除】一、求積分值
。(10 分)
【已刪除】二、求積分值
。(10 分)
【已刪除】三、求偏導數
,其中x
3
+ y
3
+ z
3
= 3xyz。(10 分)
【已刪除】四、找出函數
所有的漸近線。(10 分)
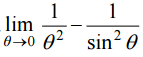
【已刪除】五、求極限
。(15 分)
【已刪除】 六、求導數
在x =1的值。(15 分)
【已刪除】七、求積分值
。(15 分)
【已刪除】八、找出實數 p 的範圍使得級數
能夠絕對收斂、條件收斂或發散。(15 分)
相關試卷
114年 - 114 公務升官等考試_薦任_物理:微積分#133273
114年 · #133273
114年 - 114 一般警察特種考試_三等_消防警察人員:微積分#127792
114年 · #127792
113年 - 113 普通考試_天文:微積分#121499
113年 · #121499
113年 - 113 一般警察特種考試_三等_消防警察人員:微積分#120498
113年 · #120498
112年 - 112 公務升官等考試_薦任_物理:微積分#117315
112年 · #117315
112年 - 112 普通考試_天文、氣象:微積分#115417
112年 · #115417
112年 - 112 一般警察特種考試_三等_消防警察人員:微積分#114953
112年 · #114953
112年 - 112 身心障礙特種考試_四等_氣象:微積分#113932
112年 · #113932
111年 - 111 普通考試_氣象:微積分#109324
111年 · #109324
111年 - 111 一般警察特種考試_三等_消防警察人員:微積分#108604
111年 · #108604