阿摩線上測驗
登入
首頁
>
自動控制學
> 96年 - 096年高等一級暨二級自動控制學#50852
96年 - 096年高等一級暨二級自動控制學#50852
科目:
自動控制學 |
年份:
96年 |
選擇題數:
0 |
申論題數:
12
試卷資訊
所屬科目:
自動控制學
選擇題 (0)
申論題 (12)
一、試說明為何穩定之閉迴路控制系統之極點(poles)必須位於複數平面之左半邊。 (10 分)
⑴請畫出速度迴路之方塊圖(the velocity loop block diagram)。(10 分) (提示:輸入 V,輸出 v)
⑵若摩擦力可忽略,請推導速度迴路之轉移函數(transfer function)(10 分) H
v
= v ( s ) / V ( s )
⑶若使用增益(gain)為 K 之比例型(P-type)控制器來控制馬達之位移,請推導 閉迴路(closed-loop)之轉移函數;並決定能使系統穩定之 K 之範圍。(5 分)
⑴求實軸上之根軌跡(root loci on the real axis)。
⑵計算分離點(breakaway point)。
⑶計算根軌跡與虛軸(imaginary axis)之交點。
⑷畫出全部根軌跡。
⑸計算阻尼比ζ = 0.45 之根 s
1,2
並求此時之 K 值。
⑴請估算此系統之轉移函數。
⑵請計算ω
g1
與ω
g2
。
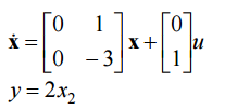
【已刪除】五、考慮如下之二階系統,(20 分)
試說明此系統是否為可控制且可觀測(controllable and observable)。