阿摩線上測驗
登入
首頁
>
自動控制學
> 95年 - 095年地方自動控制#50512
95年 - 095年地方自動控制#50512
科目:
自動控制學 |
年份:
95年 |
選擇題數:
0 |
申論題數:
8
試卷資訊
所屬科目:
自動控制學
選擇題 (0)
申論題 (8)
⑴何謂系統階數(system order)。(5 分)
⑵何謂系統極點(pole)。(5 分)
⑶說明何為系統閉迴路頻寬(closed-loop bandwidth)。(5 分)
⑷請說明因果性(causality)在控制系統中的意義。(5 分)
【已刪除】二、欲以 phase-lead compensator 建立 45°的 phase lead,
, 則α應取多少?(20 分) αTs + 1
【已刪除】三、有一系統的狀態方程式為
請繪出此系統的狀態流程圖(state flow diagram)。(20 分)
【已刪除】四、畫
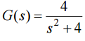
的 Nyquist Plot。(20 分)
【已刪除】五、考慮下圖所示兩個滑車,
其中 u 為馬達轉動車輪與鐵軌摩擦所產生之推力,m
1
、m
2
為車廂質量,K 為兩車間
連結機構之彈簧係數,f 為此彈簧之作用力。
欲考慮此連結彈簧在何時會斷裂必需知道此彈簧受力的動態情形,請依此需要寫出
足以描述此彈簧受力情形之系統狀態方程式。(20 分)