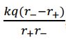
50. An electric diple consists of point charges ±q a distance 2a apart. The potential at an arbitrary point P can be expressed as V(P) =
=
, where k is the Coulomb constant, r+ is the distance to the point charge +, r− is the distance to the point charge −q. If r is the distance to the dipole center, for r ≫ a, the quantities r+, r−, and r are nearly the same as r2 ≈ r+r−. The difference between the distances from the two charges to P, that is, r− − r+, is approximately equal to 2a cos θ, where θ is the angle as shown in the figure. Eventually, the dipole potential for r ≫ a becomes V(r, θ) =
. What is the electric field
at an arbitrary position P for r ≫ a? Note that
and
are unit vectors.
(A)
(B)
(C)
(D)
(E) 