所屬科目:身障升大專-數甲
1.試求一元二次不等式-2+6x≤5解的範圍為何?(A)1≤x≤5(B)-5≤x≤-1(C)x≥或x≤-5(D)x≥5或x≤1
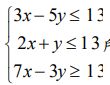
2.若(x,y)為二元一次聯立不等式所表示圖形上的任一點,且f(x,y)3x+ay在(4,5)有最大值,試求a的範圍為何?(A)(B)(C)(D)
3.下列何者為正數?(A)(B)log76-1(C)(D)
4.假設a、b為正整數,若,則下列敘述何者正確?(A)a和b的最大公因數為2(B)a+b=12(C)ab=30(D)
5.某地區的數位有線電視共有10個電視頻道,將其分配給4個購物台、3個綜藝台及3個電玩台共三種類型。若同類型電視台的頻道要相鄰,而且前4個頻道保留給購物台,則頻道有多少種分配方式?(A)3!×4!×3!×3!(B)3×4!×3!×3!(C)2!×4!×3!×3!(D)4!×3!×3!
6.有一款線上遊戲,每次出門打仗都需要帶上戰士1名、攻擊手3名及補血員1名,共5名,已知小賴的人員名單中有3名戰士、攻擊手6名及2名補血員,試問小賴出門打仗有多少種組成方式?(A)18(B)36(C)72(D)120
7.擲一顆不公正的骰子一次。設擲出1點,即可得到1元,擲出2點,即可得到2元,以此類推。已知擲骰子點數與其對應的機率如表(一),又知所得金額的期望值為3元,試求x、y的值為何?
(A)(B)(C)(D)
8.班上有15位男生和10位女生需推派3位同學參加籃球三對三鬥牛比賽,大家決定以抽籤的方式決定參加選手。若每個人中籤的機率相等,則三人 不為 單一性別的機率為何?(A)(B)(C)(D)
9.設有一組母體資料12,,,Nxxx,其算術平均數為,則母群體標準差公式為22212()()()NxxxN。已知有一組7個數據分別為376、385、379、382、394、388、391的算術平均數為385,運用上述母體標準差公式,試求母群體標準差為何?(A)4(B)5(C)6(D)7
10.已知有一組同學的英文分數為61、70、69、63、67,下列何者正確?(A)這組同學英文分數的組距為8(B)這組同學英文分數平均為65(C)這組同學英文分數的中位數69(D)這組同學英文分數的第三四分位數為69.5
11.下列哪個函數的圖形通過點(2,6)?(A)f(x)=6(B)f(x)=2x+5(C)f(x)=5x+2(D)f(x)=x2+2x+5
12.小華想利用32公尺長的籬笆沿著河岸圍成一個長方形的花圃,緊鄰著河岸的一邊不圍,只圍三邊,試問:若可圍成最大面積為a平方公尺,則a=?(A)64(B)100(C)128(D)144
13.已知坐標平面上有一直線過點A(0,0)且與直線L:5x-7y+35=0垂直,則此直線為何?(A)5x+7y=0(B)5x-7y=0(C)7x+5y=0(D)7x-5y=0
14.若x+1為f(x)=7x3-4x+a的因式,則a=?(A)-3(B)-1(C)1(D)3
15.若α ,β為方程式x2+3x-2=的兩根,則α2+β2=?(A)12(B)13(C)14(D)15
16.試求sin230°+cos260°=?(A)(B)(C)1(D)√3
17.設θ為銳角,已知tan3θ=,則之值為何?(A)7(B)9(C)11(D)13
18.坐標平面上有一圓,其圓心為(2,-7),半徑為4的圓方程式為何?(A)(+2)2+(-7)2=4(B)(-2)2+(+7)2=4(C)(+2)2+(-7)2=42(D)(x-2)2+(y+7)2=42
19.試求之值為何?(A)260(B)270(C)280(D)290
20.某人存入銀行100,000元,年利率固定為2%,每年複利計息,滿二年本利和為多少元?(A)104,000(B)104,040(C)140,000(D)144,000