所屬科目:【阿摩】未分類題庫
1. 有 關 複 雜指 令 架構 微 處 理機 的 敘述 , 下 列何 者 錯誤 ?(A) 固 定 指 令 長度(B) 指 令 數 目多(C) 定 址 模 式豐富(D) 硬 體 支 援 的資 料 型 態多
2. 微 處 理 指令 中 的操 作 碼 (OP-code), 其 記 錄的 內 容為 何 ?(A) 提 供 指 令 運算 時 所 需的 位 址(B) 提 供 指 令運算 時 所 需的 資 料(C) 定 義 指 令的運 算 功 能(D) 定義指令 運算 所需的時 間
3.電 腦 系 統 可 分為 五 大 單元 , 下列 何 者 不屬 於 其中 ?(A) 控制單元(B) 記 憶 體 單元(C) 作 業 系 統單元(D) 輸 出 /輸 入 單元
4. 80x86執 行 邏輯運 算 指 令 XOR AX,AX後,其 進 位旗 號 (CF)與 零 位旗號 (ZF)的 結 果分別 為 何 ?(A) CF=0、 ZF=0(B) CF=0、 ZF=1(C) CF=1、 ZF=0(D) CF與 ZF結 果不 變
5.已 知 暫 存 器 AL=05h, CL=02h, 執 行 下 列 程 式 碼 後 暫 存 器 AL的 內容為何 ?MOV BL, ALSHL AL, CLADD AL, BL(A) 10h(B) 15h(C) 19h(D) 25h
6. 微 處 理 器 執 行 算 術 運 算 指 令 後 的 進 位 結 果 , 會 記 錄 在 下 列 哪 一 個暫存器?(A) 資料傳存器(B) 指 令 暫 存器(C) 狀 態 暫 存器(D) 索 引 暫存器
7. 當 以 9600bps的速度傳送資料時,每傳送一個位元組時需 1個起始位 元、1個同 位 元與 1個 結 束 位元,當 傳 送 2K-Byte時,則 需花 費 多少時間?(A) 0.21秒(B) 1.71秒(C) 2.29秒(D) 2.35秒
8. 有 關 交 握式 與 閃控 式 兩 種並 列 傳輸 技 術 ,下 列 敘述 何 者 正確 ?(A) 閃 控 式 可 以確 定 接 收方 資 料是 否 已 完成 接 收(B) 交 握 式 常用於 滑 鼠 與鍵 盤 的介 面(C) 交 握 式 可配合 不 同 處理 速 度的 週 邊 進行 資 料傳 輸(D) 兩 者 皆 適 用於 長 距 離 資 料 傳輸
9. 對 於 80x86而 言, 下 列 何者 的 中斷 優 先 權最 低 ?(A) Reset(B) NMI(C) 硬 體 內 部中斷(D) 軟體中斷
10. 有 關 於 記憶 體 的說 明 , 下列 敘 述何 者 正 確?(A) DRAM使 用 電 容 之 充放 電 紀錄 資 料 ,故 操 作速 度 較 SRAM快(B) SRAM具 有 可讀 可 寫 的能 力 並且 在 電 源關 閉 後仍 可 保 存資 料(C) ROM僅 能 讀 取 但 電 源關 閉 後其 記 錄 的資 料 仍保 持(D) 與 其 他 記 憶體 相 比 暫存 器 操作 速 度 最慢 但 容量 最 大
11. 下列何者不 是 硬碟 機 使 用的 介 面技 術 ?(A) IDE(B) SATA(C) SCSI(D) AGP
12. 有 關 緊 耦合 (Tightly Coupled Multiprocessing)平 行處 理,下 列敘 述 何 者 正確? (A) 每 一 個 核 心有 獨 立 的 Cache記憶體 (B) 每 一 個 核心有 獨 立 的主 記 憶體 (C) 主記憶體可允 許 多 個核 心 同時 存 取 (D) 不 需 額 外 的記 憶 體 存取 仲 裁器 , 因 此運 算 效率 高
13. 常 用 於 個人 電 腦的 有 線 網路 接 頭為 何 ?(A) RJ-45(B) HDMI(C) DVI(D) PS/2
14. 與 CMOS相 比 較, TTL具 有 哪 一個 優 點 ?(A) 運算速度快(B) 功 率 消 耗低(C) 操 作 電 壓範圍 高(D) 雜 訊 容 忍 度高
15. 如 圖 (一 )所 示 為 5輸入的 AND閘,其輸出 Y為 0的組合有幾個? (A) 15 (B) 16 (C) 31 (D) 32
16. 下 列 布 林等 式 何者 錯 誤 ?(A) X+1=1(B) X. 1=0(C) BC=CB(D)
17. 如 圖 (二 )所 示 之卡 諾 圖 ,化 簡 後之 最 簡 布林 代 數為 何 ? (A) AB+C (B) BC (C) A+C (D) AC
18. 下 列 數 字系 統 表示 何 者 錯誤 ?(A) 11000011.012(B) 1014.24(C) 51078(D) FA121 6
19. 某 十 進 制數 字 為 67.221 0, 其 10的補 數 結 果為 何 ?(A) 32.781 0(B) 32.881 0(C) 43.781 0(D) 43.881 0
20. 在一個 4位 元以 2的 補 數 表示 的 系統 中 , 下列 敘 述何 者 正 確?(A) 其 數 值 表 示範 圍 為 –7至 +8(B) 其 數 值 表示範 圍 為 –8至 +7(C) 計 算 (– 4 – 6 )時 不 會 發生 溢 位(D) 計 算 (5–3)時 會 發 生 溢位
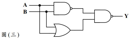
21. 如 圖 (三 )所示之邏輯電路, 其功能為何 ?
(A) XOR (B) 多工器 (C) 解多工器 (D) XNOR
22. 當使用 IC7400、IC7432、IC7408與 IC7486,下 列 IC的組合何者能實現一個全加器 ? (A) IC7400與 IC7486各一個 (B) IC7432與 IC7486各一個 (C) IC7408與 IC7486各一個 (D) IC7400一個與 IC7486二 個
23. 如 圖 (四 )所示之邏輯電路, 其 輸出 F為 何 ? (A) ∏ (1,2,3,5,7) (B) ∑(1,2,3,5,7) (C) ∑(0,4,6) (D) (A+B+C)
24. 如 圖 (五 )所 示 之電 路 , 其 為 哪 一種 準 位 動作 之 型態 的 正 反器 ? (A) 低態動作 的D型正反器 (B) 高態動作的D型正反器 (C) 低態動作的RS正反器 (D) 高態動作 的T型正反器
25. 使 用 4個 正 反 器 實 現 一 個 2N模 的 強 生 計 數 器 , 其 輸 出 由 高 至 低 依 序 為 QdQcQbQa, 若輸入 時 脈 為 16KHz的 脈 波 , 則 此計數器 Qa輸 出 的 頻 率為 何 ? (A) 1KHz (B) 2KHz (C) 4KHz (D) 8KHz
26.有 一 正 反器 其 設定 時 間 (setup time)、時 脈 至輸 出 的時 間 (clock to Q) 與持續時間 (hold time),分 別 為 2nS、6nS與 1.5nS,則 該 正 反器 的 最 大 操 作速 度 為何 ? (A) 3.5nS (B) 7.5nS (C) 8.0nS (D) 9.5nS
27. 下列何者不 是 程式 語 言 ?(A) SQL(B) Arduino(C) Assembly(D) C#
28. 有 關 C語 言 程 式, 下 列 敘述 何 者正 確 ?(A) C語 言 程 式需要 編 譯 才能 執 行程 式 功 能(B) C語 言 程 式 無使 用 函 式情 況 下也 能 編 譯(C) C語 言 程 式 具有 跨 平 台特 性(D) C語 言 程 式是一 種 低 階語 言
29. 有 關 C語 言 程式中 #define宣 告,行 號 3與行號 4之 指 令 ,下 列 何 者正確? (A)(B)(C)(D)
30. 有 關 C++變 數 型態 short、 char、 double與 long,所 佔 記 憶 體大小 之 排序 , 下列 何 者 正確 ? (A) long < double < char < short (B) short < char < long < double (C) short < char < double < long (D) char < short < long < double
31. 有 關 C++變 數 宣 告 的 程式 , 若 行 號 6輸 出 "X為 偶 數 "時 ,則 行 號 4 的 指 令 ,下 列 何者正確 ? (A)float a=6, X=a*2; (B)char a=6, X=a+'0'; (C)int a=5, X=a+2; (D)float a=6, X=int(a);
32. 有 關 C++語 言 程式,若 行號 6的 變數 a輸出為 23,則 行 號 5的 指 令 ,下列何者正確 ?(A)++a+=8; (B)a=((a-7)<<1)+7; (C)a=a+++7; (D)a=((a*=7)>>2);
33. 如 下 C++語 言 程式 , 則 變數 c輸 出 的 結 果為 何 ?(A)2(B)4(C)6(D)8
34. 如 下 C++語 言 程式 , 有 關行 號 5的 流 程 指令 , 下列 何 者 正確 ?(A)a=(a>100)?100:a;(B)if{a>100} a=100;(C)do{a++;} while(a<100)(D)for(int i=0,i<100,i++) a++;
35. 有 關 程 式 語 言 中 之 選 擇 結 構 指 令 switch(variable)的使用 , 下列何者的 variable變數型態無法使用 ? (A)char (B)float (C)int (D)short
36. 有 關 C++語 言 程 式 之 陣 列 int array[9][6];若 array[3][2] 為 *(*array+n),則變數 n為 何? (A)1 (B)10 (C)20 (D)30
37. 如 下 C++語 言 程式 , 其 輸出 的 結果 為 何 ?(A)22(B)32(C)40(D)50
38. 如 下 C++語 言 程式 , 其 輸出 的 結果 為 何 ? (A)5 (B)15 (C)20 (D)25
39. 如 下 C++語 言 程式 , 其 輸出 的 結果 為 何 ? (A)6 (B)23 (C)24 (D)25
40. 如 下 C++語 言 程式 , 其 輸出 的 結果 為 何 ? (A)11 (B)140 (C)201 (D)211