所屬科目:國中技藝-工業配線組
1.高電壓熔絲鏈開關之簡稱為 (A)PF (B)PCS(C)PS (D)HPF。
2.同步電動機之英文符號為 (A)MG (B)IM(C)SM (D)OPM。
3.ACB 是 (A)油斷路器 (B)空氣斷路器(C)交流斷路器 (D)分激發電機。
4.下列何者為能量單位? (A)VA (B)W(C)kW (D)kWh。
5.貫穿 3 匝時為 150/5A 之比流器,其原比數為 (A)50/5 (B)150/5(C)450/5 (D)600/5。
6.直流電壓計其最大刻度為 250V,內阻為 1.0 kΩ,欲將測試範圍提高至 500V, 則須串聯電阻器之電阻值為 (A)1 (B)1.5(C)2 (D)2.5 kΩ。
7.使用 20/5A 比流器及 5A 電流表,測定電熱器之負載電流,下列何者不適 用? (A)單相 110V,3KW (B)單相 220V,2KW(C)三相 110V,3KW (D)三相220V,2KW。
8.感應電動機運轉時之轉速,通常較其同步轉速為 (A)相同 (B)快(C)視負載大 小而定 (D)慢。
9.電流表切換開關內部接點在切換時是 (A)先開後閉 (B)先閉後開(C)先開後 閉或先閉後開均可 (D)視電表之結構而定。
10.同步電動機於功因落後運轉中,若將激磁電流略為減少,則 (A)功率因數 降低 (B)功率因數提高(C)功率因數不變 (D)轉速增加。
11.韋伯(Weber)為何者之單位? (A)電感 (B)頻率(C)光束梯度 (D)磁通量。
12.變壓器二次側接地的目的為 (A)提高導磁率 (B)提高導磁係數(C)防止感電 事故 (D)防止渦流損失。
13.供電電壓比額定電壓降低 8%時,三相感應電動機之最大轉矩約降低多 少(%)? (A)8 (B)15(C)20 (D)25。
14.積熱電驛原理是利用金屬之 (A)膨脹係數不同 (B)重量不同(C)面積不同 (D)加熱時間不同。
15.低壓用戶有一台三相 220V、20 馬力電動機,其起動電流應限制不超過 電動機額定電流之 (A)1.5 (B)3.5(C)6 (D)6.25 倍。
16.無熔絲開關啟斷容量之選定,是依 (A)功率因數 (B)負載電流(C)閃爍電壓 (D)線路之短路電流。
17.F 級絕緣材料,其最高容許工作溫度為 (A)105 (B)130(C)155 (D)180 ℃。
18.MCCB AF 與 AT 之關係為 (A)AF≧AT (B)AF>AT(C)AF<AT (D)AF≦AT。
19.使電線之長度增為 n 倍,其截面積減為 1/n 倍時,則電線電阻為原來之 (A)n2 (B)n(C)1/n (D)1 倍。
20.引起電燈閃爍較大之負載機器為 (A)電動機 (B)電熱器(C)閃絡電驛 (D)電 弧爐。
21.某工廠有低壓電動機五台,最大一台之全載電流為 52A,其餘 4 台之全 載電流合計為74A,選擇幹線之安全電流量應為 (A)100 (B)120(C)140 (D)160 A。
22.一電動機(視作 RL 串聯電路)若並聯一只可變電容 C,則 C 自零逐漸加大 時,全電路之功率因數變化為 (A)逐漸提高 (B)逐漸降低(C)先提高後再降 低 (D)不變化。
23.有一三相變壓器一次側 Y 接線電壓為 440V,二次側 Δ 接線,一次側比 二次側匝數比為 2:1,則二次側相電壓為 (A)110 (B)127(C)330 (D)380 V。
24.電動機在可逆轉場合,往往在正逆轉電磁開關控制電路上,加裝延遲電 路以使切換時間延長,其主要目的為 (A)使電動機完全停止後再啟動 (B) 減少啟動電流(C)防止電動機燒燬 (D)防止電路因電弧而造成短路。
25.保護用比流器,規格中標示 15VA10P20,表示該 CT 在過電流多少倍時 其內鐵心不能飽和? (A)10 (B)15(C)20 (D)25 倍。
26.如下圖,計算出 A、B 點間所量測到的總電阻 Rab為多少?
(A)2.5Ω (B)4.5Ω(C)3.33Ω (D)4Ω
27.如下圖中,左邊接的是一個電壓的電壓源,右邊則是電流值為 Y 的電流 源,其流過電阻 ?R2 的電流 I2 的大小是多少? (A) (B)(C) (D)
28.如下圖所示,其 a、b 兩端所量測到的總電容量為? (A)2μF (B)6μF(C)9μF (D)3μF
29.電路如下圖所示,此電路電容器 C 皆為相同規格且電容量皆為 1μF,求 xy 兩端的等效電容 Cxy為多少? (A)1 牛頓/庫侖 (B)0.75 牛頓/庫侖(C)3 牛頓/庫侖 (D)2 牛頓/庫侖
30.如圖所示請問此電路電壓 V 為多少?(A)15V (B)16.5V(C)16V (D)17.5V
31.以迴路電流法分析下圖電路,並下列選項何者為正確?(A) I1迴圈之迴路方程式可表示為7=9I1- 4I2- 5I3 (B) I2迴圈之迴路方程式可表示為5=21I2-4I1-9I3 (C) I3=3A (D)以上皆非
32.電路如下圖所示,求 x、y 之間的等效電感 Lxy為多少? (A)8H (B)6H(C)9H (D)3H
33.兩電荷相距 100 cm,電荷量分別為 Q1=2✖10-9庫侖, Q2=-2✖10-9庫侖,試求兩電荷連線中點 P 的電場強度? (A)72 N/C (B)144 N/C(C)288 N/C (D)36 N/C
34.有一電器額定功率為 50W,通電穩定前電阻為 10Ω,穩定後電阻為 50Ω, 求穩定時該電器的功率為何? (A)220W (B)230W(C)240W (D)250W
35.電路如下圖所示,計算使電路 a、b 端點之戴維寧等效電阻 Rth 應為多 少? (A) (R1//R4)+R2//R5 (B) (R2//R1)+R4//R5(C) (R2//R5)+R4//R1 (D) (R2//R1)+R5//R4
36.如下圖為無限串並聯電路,求出此電路 a、b 端點之戴維寧等效電阻並計 算電路之電流 I 應為多少安培?(A) Rth=6Ω,I=A (B) Rth=6Ω,I= A(C) Rth=7.5Ω, I=A (D) Rth=7Ω,I= A
37.電路如下圖所示電路, a、b 端點之戴維寧等效電阻?Rth應為?(A) (R1//R2)+R3//R4 (B) (R2//R3)+R4//R1(C) (R3//R4)+R1//R2 (D) (R4//R1)+R2//R3
38.如下圖為無限串並聯電路,計算該電路 a、b 端點之等效電阻 R 為多少? (A)0Ω (B)1Ω(C)2Ω (D)3Ω
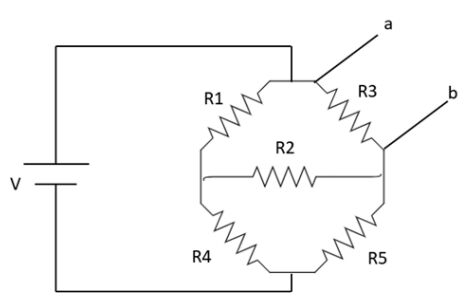
39.以下兩電路圖,其 a、b 端之戴維寧等效電阻相等,則R與Ra的關係式為何? (A) (B)(C)(D)
40.請根據下圖中電路,計算出 w、x 端點之等效電阻 Rwx?(A)2Ω (B)1.5Ω(C)0.5Ω (D)1Ω