所屬科目:微積分
一、試求極限值。(10 分)
二、令 h(x)=f(g(x))+ 。已知 f(1)= g (1)=1,f'(1)=g' (1)=2 ,求 h'(1)。(15 分)
四、令, 試 求 函 數 G (x) 的 圖 形 在 點 (1, G (1) )之切線方程式。(15 分)
五、試求不定積分 。(15 分)
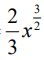
六、試求曲線線段 y= , 0 ≤x≤ 3 的長度。(15 分)
七、令區域 R 為曲線 y=1- 與曲線y=1- 所包圍的區域。將區域 R 圍 繞 y 軸旋轉一圈,生成空間一實體 V。使用殼形法(Shell Method)求實 體 V 的體積。(15 分)