阿摩線上測驗
登入
首頁
>
自動控制學
> 105年 - 105年身障特考三等自動控制#50176
105年 - 105年身障特考三等自動控制#50176
科目:
自動控制學 |
年份:
105年 |
選擇題數:
0 |
申論題數:
4
試卷資訊
所屬科目:
自動控制學
選擇題 (0)
申論題 (4)
【已刪除】一、RC 電路如圖所示,其中 U
i
(t)是輸入電壓,U
o
(t)是輸出電壓。如果電容兩端的初始電 壓為零,推導此電路的傳遞函數(transfer function)(25 分) 。
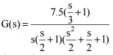
【已刪除】二、已知系統的開迴路傳遞函數為
繪出波德圖(Bode diagram)(25 分) 。
【已刪除】三、已知單位回饋(unity feedback)系統的開迴路傳遞函數為
繪出根軌跡,並且計算使閉迴路系統穩定的 值範圍。(25 分)
四、自動控制系統常常利用 PID 控制器,試從訊號(signal)的觀點敘述 PID 控制器的意 義和目的,不必寫出 PID 控制器的公式。(25 分)