阿摩線上測驗
登入
首頁
>
電磁學
> 104年 - 104年高等三級暨普通考高考三級_電子工程#29908
104年 - 104年高等三級暨普通考高考三級_電子工程#29908
科目:
電磁學 |
年份:
104年 |
選擇題數:
0 |
申論題數:
7
試卷資訊
所屬科目:
電磁學
選擇題 (0)
申論題 (7)
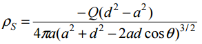
【已刪除】一、如圖一所示,在一接地導體球之右側有一電荷Q與球心相距d ,導體球之半徑為a , 試證明導體球感應之表面電荷密度
。(25 分)
⑴螺線環形線圈通過一等值電流I ,試求中空部分任意位置之磁通密度B。(10 分)
⑵試求環形線圈自電感量L。(15 分)
【已刪除】三、如圖三所示,考慮有限長傳輸線,其特徵阻抗為R
0
,波傳播速度為u ,傳輸線長度為
,輸入端(z = 0)加上直流電壓源V
0
,其內阻為R
0
,負載端(z =
)加入電感性負載,電感值為L
L
,在t = 0時,將開關按下,試求在負載端的電壓波 v
L
(t) 為何? 並繪出負載端之電壓波形。(25 分)
⑴入射磁場 H
i
(z,t) 。(5 分)
⑵反射波之電場 E
r
(z,t) 及磁場 H
r
(z,t) 。(8 分)
【已刪除】⑶並繪出真空中全部電場及磁場分別於
之波形。(12 分)