阿摩線上測驗
登入
首頁
>
自動控制學
> 102年 - 102年身心障礙人員考三等自動控制#44331
102年 - 102年身心障礙人員考三等自動控制#44331
科目:
自動控制學 |
年份:
102年 |
選擇題數:
0 |
申論題數:
11
試卷資訊
所屬科目:
自動控制學
選擇題 (0)
申論題 (11)
【已刪除】一、受控系統之動態方程式為
㈠求系統之轉移函數 Y(s)/U(s)。(5 分)
【已刪除】㈡設 y( t ) = x ( t ) = x
1
( t ) ,
,寫出
及 Y = CX 之狀態空間 方程式(大寫符號為矩陣),以及系統之轉移函數。(15 分)
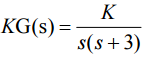
【已刪除】二、一單位負回授(unity negative-feedback)控制系統之開路(open loop)轉移函數為
㈠繪出根軌跡圖。(10 分)
㈡利用羅斯法則(Routh criterion),找出使閉迴路系統穩定之 K 值範圍。(10 分)
㈢利用根軌跡圖設計阻尼係數為 0.5 交於根軌跡之主根(dominant poles)及其設定 之 K 值。(10 分)
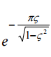
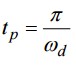
【已刪除】㈣以主根估算系統響應之最大超越量(maximum overshoot)% OS =
、峰值 π 4 時間(peak time)
、安定時間(settling time)
。(15 分)
三、比較 PD 控制器與 PI 控制器 ㈠說明何者相似於相位領先補償器(phase lead compensator);何者相似於相位落 後補償器(phase lag compensator)。(5 分)
㈡相位領先補償器(phase lead compensator)及相位落後補償器(phase lag compensator) 之轉移函數各為何?其零點(zero)與極點(pole)之關係各為何?其適當之操作 使用頻率各為何?(15 分)
【已刪除】四、一單位負回授(unity negative-feedback)控制系統之開路(open loop)轉移函數為
在 G(s)之前設計一控制器 G
c
(s),控制器 G
c
(s)分別為 ㈠比例控制器 G
c
(s) = K p 。(5 分)
㈡微分控制器 G
c
(s) = K
d
s 。(5 分)
【已刪除】㈢積分控制器
。(5 分) s 當輸入為單位步階(unit step)訊號,求各系統之穩態誤差(steady state error)。