阿摩線上測驗
登入
首頁
>
自動控制學
> 100年 - 100年關務三等自動控制#46174
100年 - 100年關務三等自動控制#46174
科目:
自動控制學 |
年份:
100年 |
選擇題數:
0 |
申論題數:
6
試卷資訊
所屬科目:
自動控制學
選擇題 (0)
申論題 (6)
【已刪除】一、已知開路(open-loop)傳遞函數(transfer function)為
試繪出該控制系統的根軌跡(root locus)。(20 分)
二、利用阻尼比(damping ratio)和自然頻率(natural frequency),寫出具有一對共軛極 點(complex poles)的二階(2
nd
order)傳遞函數,然後繪出其波德圖(Bode plot), 其中阻尼比分別等於 0.1, 0.3, 0.7。(20 分)
三、已知傳遞函數表示式
試寫出其時間域(time-domain)方程式。(20 分)
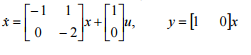
【已刪除】四、試檢驗下列系統的可控制性(controllability)與可觀測性(observability)。(20 分)
五、共振峰值(resonance peak)能否用來表示控制系統的穩定性(stability)?為什麼? 阻尼係數(damping coefficient)能否用來表示控制系統的穩定性?為什麼?(10 分)
六、在道路上,騎士操縱機車的行為可以視為控制系統,試將此控制系統用控制方塊 圖(Control Block Diagram)表示之,並且附加說明該圖。(10 分)